Pineapple Express: Someone Is Wrong on the Internet?


log in or register to remove this ad

For some reason I'm reminded of Zeno's "paradox" of motion.

Zeno's paradoxes - Wikipedia

To travel the whole distance from A to B, you must first travel half that distance. To travel half that distance, you must first travel half that distance. To travel half that distance, you must first travel half that distance. Ad infinitum. Therefore, it's impossible to travel from A to B.

This was something I found in one of my first programming courses as well, regarding interest payments.
 


Sure, except that (3) in that case only approaches 1/3. 3(.9) isn't 4, except maybe in "might as well be for practical purposes."

Isn't .(9) exactly 1 in math? (With apologies if I misunderstood the remark).

1731703611633.png


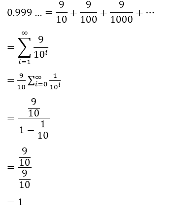
Using the geometric series stuff from Calc 2 commonly brought up in regards to...

For some reason I'm reminded of Zeno's "paradox" of motion.

Zeno's paradoxes - Wikipedia

To travel the whole distance from A to B, you must first travel half that distance. To travel half that distance, you must first travel half that distance. To travel half that distance, you must first travel half that distance. Ad infinitum. Therefore, it's impossible to travel from A to B.
 
Last edited:





In my mind, I’m picturing a variation on the old SNL Landshark skits.

(Halloween movie theme song)
ding-dong!

“Who is it?”

(Halloween movie theme song)
heavy breathing SFX

“Is there someone there?”

(Halloween movie theme song)
heavy breathing SFX

“I guess not.” (starts walking away)

(Halloween movie theme song)
ding-dong!

“I don’t have time for games! Who’s there?!”
(Halloween movie theme song)
Supernatural serial killer.

“What? I can’t hear you. Who’s there?”
(Halloween movie theme song)
Supernatural serial killer.

“What? I didn’t order one of those! You must have the wrong address.”
(Halloween movie theme song)
Über.

“Why didn’t you say that the first time?” (Opens door)
(Halloween movie theme song)
stab stab stab stab
 

Man that was some buffering issue with the Tyson fight last night. I think I saw the bout thirty minutes after it happened
 

Enchanted Trinkets Complete

Remove ads

Top